2026/04/06研究
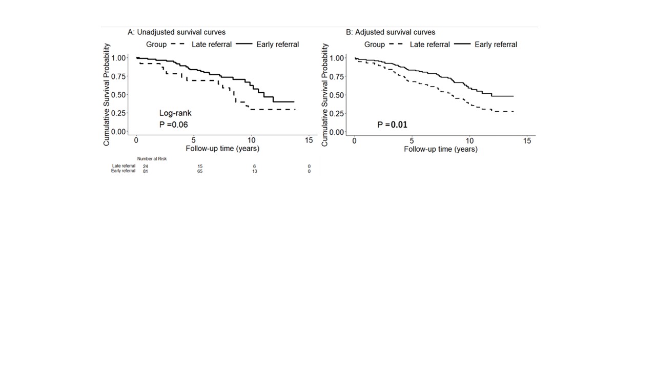
岡本恵介先生の原著論文が2026年4月6日にBMC Nephrology誌に掲載されました。本研究は単施設での観察研究で、腹膜透析導入患者105例(中央値58歳、男性71.4%)において、導入90日前以上の早期紹介は総死亡リスクを有意に低下させました(調整HR; 0.43、95%CI 0.22-0.82、追跡中央値 7.3年)。一方、腹膜炎は51.4%に発症しましたが、初回発症までの期間(sHR 0.60、95%CI 0.33-1.07)および発症率(IRR 0.55、95%CI 0.29-1.05)との関連は有意差を認めませんでした。腹膜透析導入前の専門医への早期紹介は長期予後改善に寄与する可能性が示唆されました。
